
李永乐 数学讲师
广受学生信赖的“线代王”
资本市场
一、本章知识点串讲
【知识点1】资本市场概述
1.1资本市场的含义
资本市场是金融工具的期限在I年以上的金融市场。股票市场、中长期政府债券市场等都是长期资本市场。
1.2资本市场的特点
(1)融资期限长:
(2)融资的目的主要解决长期投资性资金的需要:
(3)资金交易量大:
(4)流动性差、风险大、收益高。
1.3资本市场的构成
银行中长期信货市场:如长期抵押贷款、长期项目融资等
证券市场:如股票市场,长期债券市场长期国债、企业债券、金融债券等。
1.4资本市场的功能
(1)筹资与投资平台。资本市场是企业筹集中长期投资性资金的平台。通过发行上市或增资,可以迅速提升公司的资本金实力,为后续发展莫定基础。
(2)资源有效配置的场所。资本市场为资本所有者自由选择投资方向和投资对象提供了十分便利的活动舞台,而资金需求者也冲破了自由资金的束缚和对银行等金融机构的依赖,有可能在社会范围内广泛筹集资金。
(3)促进并购与重组。资本市场建立和发展以后企业介入资本市场,从各方筹集资金,必须要触及企业的产权关系,企业可以通过发行股票组建股份有限公司,也可以通过股份交易实现公司的重组,以调整公司的经营结构和治理结构。
(4)促进产业结构优化升级。资本市场能够筛选出效率较高的企业,也能激励所有上市公司更加有效地改善经营管理。另外,在产业、行业周期性的发展、更迭过程中,高成长性的企业和行业通过资本市场上的外部直接融资,进行扩张与重组,得到充分而迅速的发展,率先实现并推动其他产业的升级换代。
【知识点2】股票市场
2.1股票的定义及其基本要素
2.1.1股票的定义
股票是股份公司发给股东作为入股凭证并借以获取股息收入的-种有价证券。股东的权益在利润和资产分配上表现为索取公司对债务还本付息后的剩余收益,即剩余索取权。同时,股东对公司的控制还体现在合同所规定的经理职责范围之外的决策权,称之为剩余控制权。这两项构成了股东对公司的所有权。
股份公司的组织结构主要有:股东大会:公司的最高权利机构:董事会:公司的执行机构;监事会:对董事会和公司业务进行监督。
2.1.2股票的种类
普通股:在优先股要求权得到满足之后才参与公司利润和资产分配的股票合同,代表着最终的剩余索取权。
特征:不带有定期的收益和本金偿还的承诺,股东享有对公司的经营决策参与权;普通股股东具有优先认股权(即当公司增发新的普通股时;现有股东有权按其原来的持股比例认购新股,以保持对公司所有权的现有比例);有权享受红利;有剩余索偿权。
优先股:在剩余索取权方面较普通股优先的股票,这种优先体现在分得固定股息并且在普通股之前收取股息。
特征:有约定的股息,有优先分配股息和清偿资产的权利;表决权受限制。
2.1.3股票收益
(1)股息和红利:股息是股份公司从利润中按股票份额的一定比例分配给股东的收益;红利是指股东在获得股息后;从公司剩余利润中分得的收益。
(2)交易价差收益:指股票持者低价买进高价卖出时价差,也称为“资本利得”。
2.2股票价格
2.2.1有关股票价格的相关概念
股票价值:几种不同的表现形式。
(1)票面价值:指股票票面上标明的金额,表示每股的资本额。
作用:确定每一股份对公司资产的持有份额,从而确定股东的权益。
问题:股票的面值不能表示公司的实际资产价值,也不代表股票的实际价值。
(2)账面价值:又称为股票的资本净值指每股股票所代表的公司实际资产的金额。
作用:是公司经营管理者、证券分析家和投资者分析公司财务状况的重要指标。
计算公式:

(3)内在价值:也称为股票的理论价值即股票未来收益的现值,取决于股票收入和市场收益率。
内在价值是投资者作出合理投资决策的重要依据因此,股票的内在价值决定股票的市场价格,但又不等于市场价格;股票的市场价格受多种因素的影响,并围绕股票的内在价值上下波动。
(4)发行价格:指新股票出售时的实际价格决定公司实际筹集资金的数量:
发行价格的三种情况:
平价发行:发行价格等于票面价值:
溢价发行:发行价格高于票面价值。
折价发行:发行价格低f票面价值。
(5)市场价格:也称为交易价格,由股票市场的供求关系所决定的价格;
股票的市价随着股票交易的进行,每时每刻都在变动:对投资者而言,股票的市价关系着投资的成本、收益和风险。
(6)清算价值:也称为股票残值指公司清算后股票的价值,般低于账面价值。
2.2.2股票价格的形成
(1)股票投资收益率由每年取得的股息收入和股票出售时的价格两部分组成。
(2)根据现值理论<股票的理论价格),股票价格是将这两部分收入按市场利率折算成
现值。即:

式中,
P为股票交易价格,
n为持有股票的时间,
表示预期的未来各期股利收益,
i为市场利率,
M表示n年后卖出股票的收入。
(3)若假定未来各期的预期收入为固定值,且持有的时间无限长,则该公式转化为:

可见,股票理论价格主要取决于两个因素:预期股息收益和市场利率:股票的理论价格与股息收益的变化成正比,与市场利率成反比。
2.2.3影响股票市场价格的因素
(1)公司经营状况
这是股票价格的基石,一般而言股价与公司经营状况成正比。
(2)宏观经济运行状况
一般而言,国家经济运行态势良好则大多数企业的经营状况较好股票价格会上升,反之会下降。衡量宏观经济状况的主要指标有:经济增长率;经济周期或经济景气循环;货币供应量、利率;财政收支、投资与消费:物价、国际收支、汇率等。
(3)政治因素
其对股价的影响是很大的,往往难以预料。如战争会破坏社会生产力,严重打击股票市场,使股价长期低迷不振:政权更替、政治事件的爆发以及政府重大经济政策的出台,也会影响投资者的心理状态和投资行为,引起股价的涨跌变化。
(4)心理因素
当大多数投资者对股市持乐观态度时,竟相购买股票会促使股价上升:当投资者对股市持悲观态度时,往往会持币观望,使市场交易清淡,股价下跌。
(5)其他因素
主要表现为:投机者从事非法的投机活动,采用转帐、轮做、轧空、烘托、串谋、散布谣言等手段操纵股市:证券主管部门对保证金比率、涨跌停板及交易方式的限定或调整,也会影响股价。
2.3.1股票发行目的
1.是为新成立的股份公司征募股份。
发行股票以筹措新公司运营所需的设备资金和长期资金,对于规模较大的企业来说是一条理想的途径。
2.是为已成立的股份公司增资扩股。
股份公司成立后,会由于扩大经营、调整公司财务结构、维护股东权益等原因而需要提高本公司资金实力,以改善经营状况。
2.3.2股票发行方式(经销出售的方式)按发行对象不同
1.公募发行:又称公开发行,是以不特定的广大投资者为发行对象公开推销股票的方式。
特点:有利于扩大股东范围,分散持股,防止股票被少数人操纵;可有效增加流动性;但对发行公司要求较高,手续复杂,成本较高。
2.私募发行:又称不公开发行,指发行者只对特定的发行对象推销股票的方式。
特点:通常在股东配股和私人配售的情况下采用:有利于节省费用,降低发行成本;股票流动性差,不能在市场上公开出售转让。
3.上市公司如何发行股票
上市公司发行股票的流程
①新股发行决议
公司发行新股,这是属于增加公司资本的重要事项,应当由股东大会作出决议。决议中包括:新股种类及数额、新股发行价格、新股发行的起止日期、向原有股东发行新股的种类及数额等项。
②发行新股的核准
公司发行新股,经股东大会作出决议后,由董事会向国务院授权的部门或者省级人民政府申请批准。属于向社会公开募集的,须经国务院证券监督管理机构核准。
③公告招股文件
公司经核准向社会公开发行新股时必须公告新股说明书和财务会计报告及附属明细表,并制作认股书。
④新股承销
公司向社会公开发行新股,应当由依法设立的证券公司承销,签订承销协议;发行的新股票面总值超过人民币五千万元的,应当由承销团承销,承销团由主承销和参与承销的证券公司组成。
⑤募集后的登记公告
公司发行新股募足股款后,必须由公司登记机关办理变更登记,并公告。因为募集新股后,公司资本增加,应当依法办理变更手续。
4.股票承销方式
证券经营机构接受发行人委托承担销售股票的职责即为股票承销;
证券经营机构为承销商;
承销商的具体业务:接受发行公司的委托向证券主管部门提出申请,并提交规定的各类文件资料,经批准后,负责股票销售的具体事宜。
根据发行公司与承销商间的关系,承销方式有以下几种:
(1)全额包销:承销商与发行人签订购买合同,由承销商一次性买下计划发行的全部股票,然后再转售给公众投资者。
承销商的买入价和发售价之间的差额,构成承销商的收入,扣除发行费用后,就是包销利润;
承销商买断股票实际上是为发行公司预付了股款,并承担了全部的发行风险。
(2)余额包销:承销商以发行公司的名义按既定的发行价格代理发行股票,并承诺在发行期满时若股票不能全部售出,将认购余下部分。
承销商不对公司提供预付股款,承担部分发行风险;
承销商的收入来自于手续费。
(3)代销:承销商只是接受发行公司的委托,在一定时期内代理发行股票其职责只限于尽力推销。
承销商承诺运用它的专门知识来规划并出售股票,不承担任何发行风险,发行公司自行承担发行风险;
发行期满,未发售出去的股票将退还给发行公司;
代销的手续费较少。
2.4股票的流通市场
2.4.1证券交易所(场内市场)
1.证券交易所是证券买卖双方公开交易的市场,是一个高度组织化,有固定地点,集中进行证券交易的次级市场,是整个证券市场的主体和核心。
2.特点:有固定的交易场所和交易时间;交易采用公开竞价方式;交易数量大且集中;交易过程受到严格管制。
3.证券交易所本身不参加交易。
2.4.2场外交易市场
1.定义:是对交易所以外的所有证券交易活动与买卖关系的总称。
2.特点:主要用于达不到上市要求的股票交易,或由于各种原因进行的场外交易:交易是非集中的、开放式的市场。
3.主要有以下类型:
(1)柜台交易市场:其交易主要是在证券商的柜台上进行而得名。
内容:证券商利用柜台交易从事自营业务,即分别作为买方和卖方在自己的柜台上与投资者进行股票买卖。证券商报出股票的买入价和卖出价,通过买卖差价获得收益;若证券商以中介人身份代理客户买卖,在其柜台上沟通股票交易,则赚取佣金,但此种方式在场外交易中占的比重较小。
(2)第三市场:
指已经取得在交易所上市资格的股票,由非交易所会员证券商在交易所场外交易而形成的市场。
(3)第四市场:
指证券交易不通过交易商进行,而是通过电子计算机网络直接进行大宗证券交易的场外市场。
【知识点3】债券市场
3.1债券的定义与特征
3.1.1债券的定义
1.定义:债券是债务人为筹集资金而发行的,向债权人承诺按约定利率和日期支付利息并在特定日期偿还本金的债务证书。对债权人来说,债券是债权证书。
2.债券的基本要素
债券的面值:债务人还本付息的依据:
债券利率:表示债务人对债权人暂时让渡资金使用权的报酬;
债券的期限:表明债权债务关系持续的时间;
债券的价格:包括发行价格和交易价格;
债券持有人的权利:利息支付请求权:偿还本金请求权。
3.1.2债券的特征
债券与股票相比较,其特征表现在以下方面:
1.持有者权利不同
债券持有者是公司的债权人,无权参与公司的经营决策;
股票持有者是公司股东,对公司拥有所有权,对公司的事务具有参与经营决策的权利。
2.期限不同
债券一般有明确的还本付息期限;
股票则无还本期限,股东只能通过转让出售方式收回本金。
3.收益的稳定性不同
债券的还本付息受法律的保障,且利率固定,收益稳定:
股票特别是普通股收益与公司的经营状况密切相关,具有较大的不稳定性:
一般而言,经营状况好盈利水平高股票收益就高;反之,股票收益就低。
4.分配和清偿顺序不同
公司债券的利息支付是作为费用从销售收入中扣除,在税前列支;
股息不属于费用支出,它属于净收益分配,在税后利润中支付:
在公司经营不善倒闭时,债券的清偿顺序排在股票之前。
3.2债券的种类
3.2.1政府债券与企业债券( 按债券发行主体分类)
1.政府债券:中央政府债券与地方政府债券
(1)中央政府债券国债:是政府以国家信用筹措资金的一种方式。
(2)地方政府债券市政债券: 是地方政府为发展当地经济,建设公用事业筹措资金时发行的债券。
地方政府债券的信用度接近于国债收益通常稍高于国债:由于地方债券可免交地方所得税,其收益率较高;但流动性不如国债。
(3)政府机构债券:由政府所属的公共事业机构、公共团体机构或公营公司发行的债券,主要用于发展各机构和公司事业。
2.企业债券(含金融债券)
企业债券是企业为筹措资金而发行的债务凭证发行者一般是一流的大企业。
目的:用于扩大生产规模和长期投资;
特点:利率一般高于其他债券,但风险较大。
3.金融债券是大银行或一流的非银行金融机构为筹集信贷资金而发行的债权债务凭证。
特点:信用度高,发行量大,交易活跃,收益率较高,一般为中 长期债券。
3.2.2附息债券、贴现债券、浮动利率债券与累计利率债券(按债券计息方式分类)
1.附息债券:指在债券上附有支付利息息票的债券息票是按期领取利息的凭证。
特点:利息是按事先确定的期限分期支付,而不是到期时一次支付;一般为中长期债券。
优点:分期付息可有效减轻债务到期时集中付息的压力。
2.贴现债券:指在发行时按规定的贴现率,以低于面额的价格发行,到期按面额偿还本金的债券。
特点:发行价格与偿还价格间的差价即为利息:期限较短的债券一般采用此种方式发行。
3.浮动利率债券:指不规定固定利率,而是根据事先确定的某一市场利率为参考标准利率随该参考利率的变化而浮动的债券。
特点:使发行者与投资者可有效规避利率波动的风险。
4.累进利率债券:是指利率不固定,按投资者持同一债券的期限延长而累进计息,其持有期限越长,利率越高的债券。
优点:发行成本低,较适合于长期债券:
使投资者的收益与其投资期限长短挂钩。
3.2.3注册债券记名债券与不记名债券
注册债券:也称登记债券,指债券发行人委托注册机构(如证券公司)将债券购买人的姓名、地址登记在册;并发给债权人注册证书以代替发行债券本身的债券。
记名债券:指在券面上注明债权人姓名同时在发行公司的账薄上作同样登记的债券;
不记名债券:指在券面上不注明债权人姓名也不在发行公司账薄上登记的债券。
3.2.4国内债券与国际债券
1.国内债券是指在本国之内。以本国货币为面额发行的债券。
2.国际债券是指由一国政府、地方团体、金融机构、工商企业及国际组织为筹集资金而在国外发行的债券。
3.国际债券具体可分为以下几种:
外国债券:指债券发行者通过外国金融市场所在国的银行或金融机构发行的以该国货币为面值的债券。比如,美国在中国发行债券,以人民币为计价货币,就被称为外国债券。
平行债券:指发行者同时在几个不同的国家发行的几种外国债券,其债券的筹资条件和利息基本相同,在哪个国家发行,就以哪个国家的货币标价。
上述两种债券的购买者主要是发行地所在国的居民。
欧洲债券:指债券发行者通过其他银行和金融机构,在债券面值以外的国家发行并推销的债券。是以发行人和发行地国家之外的第三国货币为为面值货币发行的债券。比如美国在中国发行债券,以英镑为计价货币,所发行的债券就被称为欧洲债券。
之所以称为欧洲债券因为是利用欧洲的某一个金融市场来发行的。欧洲债券的购买者主要是非居民。
由于在欧洲金融市场.上发行债券选择的币种(美元、或日元等)不同,又可具体分为欧洲美元债券和欧洲日元债券。
3.3债券的发行程序
1.向中介机构咨询,确定发行债券的种类和数额,制定发行章程,形成董事会决议;
2.发行人与中介机构签订承销协议,委托中介机构发行债券:
3.编制申请书、债券和债权人名册,并发布募集公告:
4.正式向公众募集,投资者填写认购书并在交割日内交纳债款,领取债券:
5.债券发行完成后,发行人在一定期限内向有关部门呈报发行情况。
3.4债券的流通市场
3.4.1债券的流通
1.债券流通的含义:债券的流通市场是指已发行的债券在投资者之间的转手买卖。
债券的流通市场与股票的流通市场类似,但90%以上的债券是通过场外交易而流通的。
2.原因:
(1)债券种类察名,证券交易所容量有限,难以容纳高达数万种的债券交易;
(2)债券频繁的还本付息的业务处理使证券交易所不堪重负:
(3)债券的投机性比股票小得多,便于管理场外交易的简单管理更为适宜:
(4)场外交易市场的交易成本低,费用小,成为债券流通市场的核心。
3.4.2债券的收益率
债券的收益是指投资者购买债券后所获得的全部投资报酬;它由每年的利息收入和期末的本金偿还两部分组成。
债券收益率是衡量债券收益大小的指标,具体可分为以下几种:
1.票面收益率:指债券票面所规定的利息率。
(1)计算公式为:
票面收益率=年利息收入/债券面值×100%
(2)不足之处:
①没有考虑到债券发行价格可能与面值存在的差异
②是没有考虑债券交易的市场价格对其收益率产生的影响。
结论:不能准确反映债券投资的实际收入。
2..当期收益率:
指投资者当期获得的利息收入与其投资支出的比率。
计算公式为:
当期收益率=年利息收入/当期债券价格×100%
当债券价格等于债券面值时,当期收益率等于票面收益率;
当期收益率反映了债券市场价格对债券收益率的影响,但只能反映当期利息收益与投资成本间的关系,不能全面反映投资者在整个持有期的收益水平。
3.持有期收益率指投资者在一个持有期内获得的收益率。
其计算公式为:

优点:考虑了债券买卖的资本损益。
不足:与前两项指标-样没有考虑货币的时间价值。
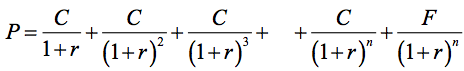
4.到期收益率
指将债券持有到偿还期所获得的收益,包括到期的全部利息。相当于投资者按照当前市场价格购买并且一直持有到满期时可以获得的年乎均收益率,其中隐含了每期的投资收入现金流均可以按照到期收益率进行再投资。
设F为债券的面值,C为按票面利率每年支付的利息P为债券当前市场价格,r为到期收益率,则:

5.债券价格