
李永乐 数学讲师
广受学生信赖的“线代王”
信用、 利率及利息
一、本章知识点串讲
【知识点1】信用概述
1.1信用的概念及其产生发展
1.1.1 信用的概念
1.定义:信用是借贷行为的总称,是以偿还为条件的价值的特殊运动形式。
2.特点:信用是以收回为条件的付出,或以归还为义务的取得;贷方有权取得利息,借方承担支付利息的义务。
3.信用关系建立的三要素: (1)侦权债务关系: (2)价值做相向运动形成的时间差; (3)信用工具。
4.信用形式:实物借贷和货币借贷。
1.1.2信用的产生和发展
1.信用产生的条件:
(1)私有制和商品交换是信用产生的前提条件:
(2)货币的信用属性推动了信用关系的发展;
(3)金融与信用的发展。
2.信用的发展
依次经历了高利贷信用、资本主义信用和社会主义信用三个发展阶段。
1.2现代信用的基本形式
1.2.1商业信用
1.定义
指企业之间在买卖商品时,以延付货款或预付贷款等形式提供的信用。它可以直接用商品提供,也可以用货币提供,但是信贷主体必须发生真实的商品或服务交易,是现代信用制度的基础。
2.商业信用工具——商业 票据
(1)含义:指企业之间在买卖商品时,以延付货款或预付贷款等形式提供的信用。它可以直接用商品提供,也可以用货币提供,但是信贷主体必须发生真实的商品或服务交易是现代信用制度的基础。商业信用工具--商业票据,商业票据可以经债权人背书后转让流通,从而使其具有流通手段和支付手段的职能。
(2)种类:
①商业本票:由债务人向债权人发出的支付承诺书,承诺在约定期限支付一定款项给债权人。
②商业汇票:由债权人向债务人发出的支付命令书,命令他在约定的期限支付一定款项给第三人或持票人。
1.2.2银行信用
1.含义:指银行及其他金融机构以货币形式向职能资本家和其他债务人提供的信用。银行信用以金融机构作为媒介,借贷对象就是直接处于货币形态的资本。
2.银行信用工具——银行 票据和支票等
(1)银行票据:在银行信用基础上产生的,由银行承担付款义务的信用流通工具。包括银行本票和银行汇票两种形式。
银行本票:申请人将款项交存银行由银行签发的承诺自己在见票时无条件支付确定的金额给收款人或者持票人的票据。
银行汇票:由出票银行签发的,由其在见票时按照实际结算金额无条件付给收款人或者持票人的票据。
(2)支票:支票是一种支付手段,是你向银行发出的项支付指令。可分为现金支票、转账支票、普通支票。支票一经背书即可流通转让,具有通货作用,成为替代货币发挥流通手段和支付手段职能的信用流通工具。
1.2.3 国家信用;
1.含义:国家信用是以国家和地方政府为债务人或债权人而出现的一种信用形式。国家信用的基本形式是发行政府债券包括发行国内公债、国外公债等。国家信用的产生是由于通过正常的税收等形式不足以满足国家的财政需要。
2.国家信用工具,国债。
1.2.4消费信用
1.含义:工商企业或金融机构以生活资料为对象向消费者提供的信用。
2.消费信用形式:
(1)赊销:分期付款、信用卡。
(2)消费信贷:买方信贷、卖方信贷。
1.2.5国际信用
1.含义:国与国之间资本流动形成的信用
2.形式
(1)国际商业性借贷:出口信贷、银行贷款、债券发行、补偿交易、政府贷款等。
(2)国际直接投资:一国的自然人、法人或其他经济组织单独或共同出资,在其他国家的境内创立新企业或增加资本扩展原有企业或收购现有企业,并且拥有有效管理控制权的投资行为。
1.2.6租赁信用
租赁公司或其他出租者将其租赁物的使用权租给承租人,并在租期内收取租金,到期回收租赁物的一种信用形式。现代租赁主要有经营性租赁、融资性租赁和服务租赁。其主要风险形式有供货商违约、承租人违约、出租人违约和设备技术落后的风险。而信用是指承租人是否在与出租人达成的任何协商上履行自己的权利和义务。
经营性租赁又称服务租赁、管理租赁或操作性租赁,是指出租人将自已经营的租赁资产进行反复出租给不同承租人使用,由承租人支付租金,直至资产报废或淘汰为止的一种租赁方式。
融资性租赁:指出租人根据承租人对出卖人( 供货商)的选择,向出卖人购买租赁物,提供给承租人使用,承租人支付租金,承租期满,货物所有权归属于承租人的交易。
1.3信用的经济作用
1.3.1促进资本再分配,提高资源配置效率
通过借贷,资金可以流向投资收益更高的项,可以使投资项目得到必要的资金,资金盈余单位又可以获得一定的收益;通过信用调剂,让资源及时转移到需要这些资源的地方,就可以使资源得到最大限度的运用。
1.3.2加速资本周转,节约流通费用
由于信用能使各种闲置资金集中起来并投放出去,使大量原本处于相对静止状态的资金运动起来,这对于加速整个社会的资金周转无疑是有巨大作用的,并且利用各种信用形式,还能节约大量的流通费用,增加资金生产投资。
1.3.3推动资本集中和积聚
信用是集中资金的有力杠杆。信用制度使社会闲散资金集中到了少数企业中,使企业规模扩大。
1.3.4调解国民经济运行
信用调节经济的职能主要表现在国家利用货币和信用制度来制定各项金融政策和金融法规,利用各种信用杠杆来改变信用规模及其运动趋势,从而调整国民经济。信用促进了国际贸易的发展和世界市场的形成与扩大。
【知识点2】利息与利率
2.1利息(Interest)
利息是指信用关系中债务人支付给债权人的报酬。随着信用行为的产生而产生,只要有信用关系的存在,利息就必然存在。在一定意义上,利息是信用存在和发展的必然条件。
利息本质理论: (1) 西方经济学利息本质理论:节欲论、时差论、流动偏好论: (2) 马克思的利息本质理论:利息直接来源于利润;利息是利润的-部分而不是全部;利息是剩余价值的一部分。
利率指在借贷期内所获得的利息额与借贷资本金之间的比率。不同的利率及相互之间的关系构成了利率系统。
(1)利率的种类
①按利率的表示方法可划分为:年利率、月利率和日利率;
年利率通常是百分之几,月利率是千分之几,日利率是万分之几。
②按利率的决定方式可划分为:官方利率、公定利率与市场利率;
官方利率:由政府金融管理部门或央行确定的利率。
公定利率:由金融机构同业公会确定的利率。
市场利率:随市场规律而自由变动的利率。
③按借贷期内利率是否浮动可划分为:固定利率(fixed interest rate )和浮动利率( floatinginterest rate);
固定利率:借贷期内不进行调整的利率。
浮动利率:根据借贷双方的协定,由一方在规定的时间依据某种市场利率进行调整,一般调整期为半年。浮动利率因手续繁杂、计算依据多样而增加费用开支因此,多用于3年以上的及国际金融市场上的借贷。
④按利率的作用可划分为:基准利率和一般利率;
基准利率(Benchmark Inferest rate):指在整个金融市场上和整个利率体系中处于关键地位、起决定性作用的利率。
其中,以同业拆借利率为基准利率的国家有英国的伦敦同业拆放利率(Libor)、美国的美国联邦基准利率(FR)、日本的东京同业拆借利率(Tibor)、欧盟的欧元银行同业拆借利率(Euribor)等;以回购利率为基准利率的国家有德国(1W和2W回购利率)法国(1W回购利率)、西班牙(10D回购利率)。
在中国,以中国人民银行对国家专业银行和其他金融机构规定的存贷款利率为基准利率。具体而言,一般普通民众把银行一年定期存款利率作为市场基准利率指标银行则是把隔夜拆借利率作为市场基准利率。
一般利率:指金融机构在金融市场上形成的各种利率一般利率通常参照基准利率而定。我国一般利率主要指商业银行对企业和个人的存、贷款利率和金融市场交易的利率。
⑤按信用行为的期限长短划分为:长期利率和短期利率;
一般来说,一年以内的的信用行为对应短期利率;一年以上的信用行为对应长期利率;
一般长期利率水平高于短期利率水平。
⑥按照利率的真实水平可划分为:名义利率和实际利率:
实际利率是指物价水平不变,从而货币购买力不变情况下的利率。
名义利率是指包括通货膨胀(通货紧缩)风险的利率。
二者关系;
考虑到物价对本金和利息的影响,名义利率与实际利率的计算公式可以写成:

其中,r为名义利率i为实际利率,p为预明的物价变动率从而实际利率计算公式为

只考虑物价对本金的影响,上述式子可简化为:
费雪效应:名义利率随着预期通胀率的上升而上升实际利率与预期通胀率无关。
⑦根据计息8起点不同,分为即期利率与远期利率:
即期利率:购买政府发行的无息债券,投资者可以低于票面价值的价格获得,债券到期后,债券持有人可按票面价值获得一次性的支付,这种购入价格的折扣额相对于票面价值的比率则是即期利率。
t年期即期利率的计算公式:

Pt是t年期无息债券的当前市价M是到期价值,St是t年期即期利率。
远期利率( forward interest rite )*指隐含在给定的即期利率之中,从未来的某一时点到另一时点的利率。如果已经确定了收益率曲线,那么所有的远期利率就可以根据收益率曲线上的即期利率求得。

⑧按信用的方向划分:存款利率和贷款利率;
存款利率:指客户按照约定条件存入银行账户的货币,一定时间内利息额同贷出金额即本金的利率。
贷款利率:是指借款期限内利息数额与本金额的比例。
(2)复利在经济中的应用现值 和终值
现值(present value,PV):指现在一定 金额货币或资金的实际价值或者指未来某一时间:价值的现在价值,即终值的实际价值,计算公式为:

其中P为现值,FV为终值。
终值(finalvalue,FV):指-定金额货币或资金到期价值。计算公式为:
(3)利率的计算--单利和复利
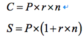
单利是指在计算利息额时,直接按本金计算利息,而不将利息额加入本金进行重复计算。其优点在于计算方更,缺点就是计算粗糙,未充分体现资金的时间价值。计算公式为:

其中,C代表利息额,P代表本金,r表示利息率,n表示借贷期限,S表示本利和。
复利是单利的对称,是指将本金计算出的利息额再计入本金,重新计算利息的方式。因而反映出利息的本质特征。计算公式为:

以复利计息,考虑了资金的实现的时间价值因素,是对贷出者利益的保护,有利于提高资金的使用效益,强化利率杠杆作用。
【知识点3】利率决定理论
(1)马克思的利率决定理论
马克思的利率决定理论是以剩余价值在不同资本家之间的分割作为起点的。马克思指出,利息是贷出资本家从借入资本的资本家那里分割来的一部分剩余价值。剩余价值表现为利润,因此,利息量的多少取决于利润总额。利息率取决于平均利润率。
(2)古典学派的储蓄投资理论(实际利率理论)
19世纪八九十年代,奥地利经济学家庞巴维克、英国经济学家马歇尔、瑞典经济学家维克塞尔和美国经济学家费雪等人对支配和影响资本供给与需求的因素进行了深入的探讨,终于提出资本的供给来自于储蓄,资本的需求来自于投资,从而建立了储蓄与投资决定利率的理论。由于这些理论严格避循着古典经济学重视实物因素的传统,强调非货币的实际因素在利率决定中的作用,因此被西方经济学者称为吉典利率理论,也被后人称为实际利率理论。古典的利率理论认为,利率决定于储蓄与投资的均衡点。投资是利率的递减函数,即利率提高,投资额下降;利率降低,投资额上升;储蓄是利率的递增的数,即储蓄额与利率成正相关关系。
(3)凯恩斯的流动偏好理论(Liquidity Preference Theory)
在资本主,义大危机背景下的凯恩斯理论对古典利率理论提出了尖锐的批评。首先,凯恩斯认为,将利息看成是等待或者延期消费的报酬是根本错误的,因为等待或者延期消费本身并不一定能够带来利息收入;其次,凯恩斯认为,根据储蓄和投资曲线并不能得出均衡的利率水平,因为它们都是和实际收入相关的,不可能独立地变动。
凯恩斯认为,既然利息是牺牲流动性的报酬,那么利率便是人们对流动性偏好——即不愿将货币贷放出去的程度的衡量。因此,利率是一种价格,但它并不是使投资和储蓄趋于均衡的价格,而是使公众愿意以货币的形式持有的财富量(即货币需求)恰等于现有货币存量(即货币供给)的价格。
凯恩斯假定人们可以贮藏财富的资产主要有货币和债券两种,其中货币是没有收益率,债券价格与利率负相关;而货币的供应量由中央银行直接控制,货币的需求量起因于三种动机。即交易动机、预防动机和投机动机。
凯恩斯把人们对货币的需求称为流动偏好(Liquidity Preference)。流动偏好表示人们喜欢以货币形式保持一部分财富的愿望或动机。
1.交易动机
交易动机是指人们为了应付日常交易的需要而持有一部分货币的动机。当人们的收入增加时,人们的消费水平会有所提高,消费量增大,从而人们满足日常交易所需的货币量也增加。
2.预防性动机
预防动机是人们为了预防意外的支付而持有-.部分货币的动机。即人们需要货币是为了应付不测之需,如为了支付医疗费用、应付失业和各种意外事件等。虽然个人对意外事件的看法不同,从而对满足预防动机需要的货币数量有所不同,但从整个社会来说,货币的预防需求与收入密切相关。因而由预防动机引发的货币需求量也被认为是收入的函数与收入同方向变动。
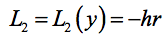
用L1表示交易动机和预防性动机所产生的全部实际货币量,用y表示实际收入,则这种货币需求量和收入的关系可表现为:
3.投机动机
投机动机是人们为了抓住有利的购买生息资产(如债券等有价证券)的机会而持有一* 部分货币的动机。我们知道,般而言,债券价格与利息率之间存在着一种反方向变动的关系。
其关系可以表示为:
4.货币的需求函数

如用M、m、P分别表示名义货币量、(实际货币量和价格指数,则m-M/P或M=Pm。
由于
仅代表对货币的实际需求量或者说雷要的实际货币量,因此,名义货币需求函数还应是实际货币需求函数乘以价格指数,即
5.流动偏好陷阱( 凯恩斯陷阱)
当利率极低,人们会认为这时利率不大可能再下降,或者说有价证券市场价格不大可能再上升而只会跌落,人们不管有多少货币都愿意持有手中,因此即使增加货币供应量,也不会使利率下降,这种情况被称为“凯恩斯陷阱”或“流动偏好陷阱”。
货币需求函数起初向右下方倾斜,表示货币的需求量随利率下降而增加,最后为水平状,表示流动性陷阱。
6.利率决定
凯恩斯认为利率是由货币的供求决定,其中货币供给量是由央行直接控制的,为外生变量,表现在坐标轴为一条垂直的线;货币的需求量为内生变量表现在坐标轴上是一条右下方倾斜的线。

(4)可贷资金理论
由英国的罗伯逊和瑞典的俄林倡导他们一方面反对传统经济学对货币因素的忽视而将利率的决定仅限于实际因素;另一方面又批评凯恩斯只强调货币供求而否定实际因素在利率决定中的作用。按照可贷资金理论,借贷资金的需求与供给均包括两个方面:借贷资金需求来自某期间的投资流量和该期间人们希望保有的货币余额:借贷资金供给则来自于同一期间的储蓄流量和该期间货币供给量的变动。

可贷资金理论认为,利率不是由储蓄与投资所决定的,而是由借贷资金的供给与需求的均衡点所决定的。利率是使用借贷资金的代价,影响借贷资金供求水平的因素就是影响利率变动的因素。借贷资金的供给因此与利率成正函数关系,而借贷资金的需求则与利率成反函数关系,两者的均衡决定利率水平。
(5)债券供求与利率决定
如果假定可贷资金供求双方之间的借贷都采取发行债券的形式来进行,则一定时期内可贷资金的需求就等于同一时期内债券的供给Bs,可贷资金的供给就等于同一时期内债券的需求Bd。则可得可贷资金利率理论的另-种表述形式,即均衡利率取决于债券的供给和需求。
见下图:

债券需求曲线的位移:财富(+);债券相对于其他替代性资产的预期回报率(-);债券相对于其他替代性资产的风险(-);债券相对于其他替代性资产的流动性(+);预期利率(-);预期通胀率(-)。
债券供给曲线的位移:各种投资机会的盈利性(+);预期通货膨胀率(+); 预期通货膨胀率(+);政府预算赤字(+)。;
(6) IS-LM模型的利率决定
可贷资金利率理论批判的继承了前人的研究成果,使利率决定理论研究取得了较大的发展。但是该理论存在着一个明显的缺陷,那就是没有考虑收入因素对利率的影响。而在实际工作中,收入因素对利率的决定是有重要作用的,这种作用是通过对储器和货币需求的影响来实现的。由英国经济学家希克斯首先提出、美国经济学家汉森加以发展而形成IS-LM模型,充分考虑了收入在利率决定中的作用,从而促进了利率决定理论的发展。

从IS--LM模型我们可得以下结论:均衡利率的大小取决于投资需求函数、储蓄函数、流动偏好即货币需求函数、货币供给量。当资本投资的边际效率提高,IS曲线将向右上方移动,利率将上升:当边际储蓄倾向提高, IS曲线将向左”下方移动,利率将下降;当交易与谨慎的货币需求增强,即流动偏好增强时,LM曲线将向上移动,因此利率将提高;当货币供给增加时, LM曲线将向下移动,利率将降低。IS- LM 模型是揭示利率决定的比较系统的理论,该模型成为分析利率变动趋势一个较好的工具。
【知识点4】利率的变动
4.1影响利率的因素:一般性的描述
1.从货币的供求看
①收入
从流动性偏好角度看,收入的增加意味着货币的交易需求增加,因而会引起货币需求曲线的右移。因此,在货币供给不变的情况下,收入的增加将导致利率的上升。
从可贷资金的角度看,收入的提高意味着储蓄的增加,从而增大可贷资金的供给:另一方面又意味着货币需求的增加,从而增大可贷资金的需求,因此导致收入对利率的影响难以最终确定。
②价格水平。价格水平的上升意味着货币的实际购买力下降。在没有货币幻觉的情况下,
人们要完成相应的交易量所需持有的名义货币量就会增加,根据流动性偏好利率理论,货币需求的增加会引起利率的上升,,因此价格水平的上升将导致利率上升。
2.从可贷资金的供求看
①边际消费倾向
边际消费倾向上升意味着在人们的总收入中用于储蓄的部分将会减少,从而可贷资金供给减少,结果使均衡利率上升。
②投资的预期报酬率
投资预期报酬率的上升会使投资需求增加,从而使可贷资金需求曲线右移,因此会引起利率的上升。
③政府的预算赤字
预算赤字往往是用发行政府债券商公众借贷的方式加以弥补,这种政府的借贷造成可贷资金需求增大,从而意味着利率的上升。
④预期利率
当人们预期未来利率将上开时,会使当前的利率上升。相反,当人们预期利率将下降时,将使当前利率下降。
⑤预期通货嘭胀率
说明:在前面曾经讲过,如果价格水平.上升那么利率也会上升。但是预期通货膨胀率与价格水平是不能混为一谈的,前者是与人们预计的未来价格水平波动相联系的,后者则是指已经发生的价格水平变动。如果大家认为将来利率将进一步上升,那么利率会怎样变化呢?
在这里可以从可贷资金的供求两个方面来分析这个问题:
首先,从可贷资金的供给来看:可贷资金的供给者关心的是实际利率,即扣除物价因素
后货币的实际购买力。当人们认为预期通货膨胀率上升时,就意味着货币的实际购买力在下
降,因此供给者愿意提供的可贷资金就会减少,所以可贷资金的供给曲线就会左移。
其次,从可贷资金的需求来看:借贷方在筹资的时候考虑的是借贷的实际成本,同样他
们所关心的也是实际利率。当预期通货膨胀率上升时,就意味着每--个给定的名义利率所对应的实际利率在下降,因此在给定的名义利率下人们对可贷资金的需求就会增加,从而使可贷资金的需求曲线向右移动。
预期通货膨胀率的E升导致可贷资金供给曲线向左上移动;预期通货膨胀率的上升导致可贷资金需求曲线向右移动。从而导致利率的大幅度上升。
利率随预期通货膨胀率的上升而上升的现象,在经济学中有一个专门的名词,叫作“费雪效应”。(前面利率的种类里面已有解释)
4.2货币供给与利率
表面上货币供给对利率的影响似乎很简单
因为根据流动性偏好利率理论,货币供给的增加意味着货币供给曲线的右移,从而意味着利率水平的下降;从可贷资金供求看,因为新增货币供给构成可贷资金供给的一部分,所
以货币供给的增加意味着可货资金供给的增加,从而也意味着利率的下降;从债券的供求看,由于货币供给增加打破了人们原先的资产组合均衡。人们会将一部分新增的货币转换成债券,所以货币供给的增加意味着债券需求的增加,因而也意味着利率的下降。这种影响被称为货币供给增加的流动性效应;
但事实上此问题并不是如此简单:因为上述的推理实际上隐含一个假定,那就是货币供给的变动不会引起其他条件的变化。但考虑到货币供给增加之后,其他条件不变的假设是难以做到的,因此还需要者虑到其他几种可能的影响。
1.几种可能的影响
首先,在没有充分就业之前,货币的增加可以通过多种渠道引起需求的增加,从而引起实际国民收入的增加,进而使货币交易需求增加,这将使利率,上升,这种影响被称为货币供给增加的收入效应;
其次,货币供给的增加还会引起价格水平上涨,价格水平的上升会使人们对货币的需求上升,从而使利率上升,这种影响波称为货市供给增加的价格水平效应;
最后,当物价因货币供给增加而上升时,人们往往会形成物价继续上升的预期,这种预期的通货膨胀同样会导致利率的上升,这种影响被称为货币供给增加的预期通货膨胀效应。
事实上,货币供给对利率的影响就可以归纳成上述四种效应相互作用的结果。
2.利率变动的轨迹
虽然四种效应都会对利率发生作用,但是作用的时间是有所不同的。
一般说来,流动性效应的作用是比较快的。在流动性效应发挥作用之后,随着货币供给的增加所导致的产出和价格的上升开始慢慢的发挥影响。所以说,价格水平效应和收入效应的作用有一个时滞。
而预期通货膨胀效应的快慢取决于人们形成预期的方式。如果人们形成的是适应性预期,那么预期通货膨胀效应的作用就会比较晚:如果人们形成的预期是比较理性的,那么预期通货膨胀效应就会在货币增加后立即起作用。
【知识点5】利率结构理论
利率的结构:利率在一个国家中的具体表现是多种多样的,不同期限和不同用途的资金具有不同的利率水平,这就是利率的结构的问题。利率的结构分为风险结构和期限结构。
5.1利率的风险结构
利率的风险结构是指期限相同的各种信用工具利率之间的关系。主要由信用工具的违约风险、流动性以及税收等因素决定。
违约风险:由违约因素导致的偿债风险。指债券发行人到期无法或不愿履行事先约定的利息支付或面值偿付义务的可能性。在到期期限相同的情况下,有违约风险的企业债务和无违约风险的国债之间的利差就是风险溢价。
流动性:用来衡量金融资产转换为现金的能力2流动性越强转换为现金是所支付的成本就越低。在流动性较差的债券的利率中有必要包含一个利差就是流动性溢价。
税务因素:有些债券的利息收入可以免税,这样的债券利率相对于其他债券较低。
5.2利率的期限结构