
李永乐 数学讲师
广受学生信赖的“线代王”
天任考研小编为大家整理了“考研数学高数备考知识点复习:导数的定义”相关内容,为初试考察数学专业考生们提供指导。更多有关数学考研干货可关注考研备考栏目。
考研数学高数备考知识点复习:导数的定义
一、涉及的知识点及考查形式
可涉及导数的知识点有,导数和微分的概念,导数的几何意义、物理意义(数一、数二)、经济意义(数三),函数的可导性与连续性之间的关系,平面曲线的切线、法线,倒数和微分的四则运算,基本初等函数的导数,复合函数、反函数、隐函数以及参数方程所确定的函数的微分法,高阶导数,一阶微分形式不变性。
导数定义一般以客观题(选择、填空题)形式考查,可以直接出题,也可以间接考查。如导数定义,判断分段函数的可导性,已知可导求极限,单侧导数,求某点的导数,导数定义及极限保号性,讨论曲线性态等。
二、方法选择、真题链接
当题目中提到某点可导时,或用求导公式不好求某点导数时,要联想到导数的定义。
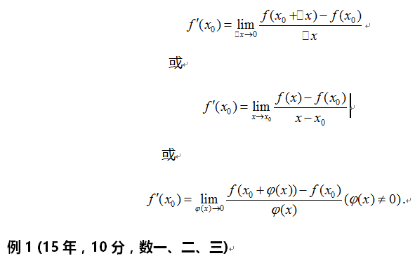
导数的三种定义式:



三、小结
导数中定义式自变量趋近于零,隐含了自变量从左边趋近于零和从右边趋近于零,这是在平时复习时容易漏掉的要点,尤其是在判断可导性时容易落下的。导数定义首先要从可导的充分必要条件和等价定义两方面进行理解。然后知识点的理解一定要结合一定量的习题才能真正掌握知识点,并应用于考研。

以上是天任考研小编为大家带来的“考研数学高数备考知识点复习:导数的定义”,希望考生们都能备考顺利,考上自己心仪的院校。